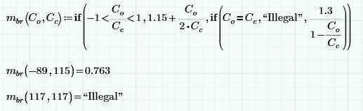
How to ignore if the expression is divided by zero
I have this formula but some time the expression is divided by zero . How to disregard this warning ?
I have this formula but some time the expression is divided by zero . How to disregard this warning ?
You CANNOT ignore the division by zero situation because mathematically it makes no sense to divide by zero.
Essentially you should catch this exception before it occurs. So next to checking if the ratio of Co and Cc is between -1 and 1, you should include a test that Co and Cc should not be equal.
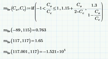
Be sure to provide proper answer(s) for you program in case the exception(s) occur.

But maybe it's simpler to do just:

Change the second 'less than' into a 'less then or equal'.
Success!
Luc
Enter your E-mail address. We'll send you an e-mail with instructions to reset your password.