|
Jeff Lee wrote:
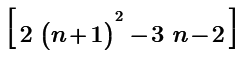
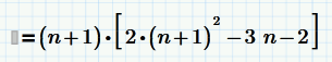
I want to use MathCAD Prime as a Formula Derivation Worksheet, and record the process like the picture below( just for example 😞
I have three problems:
- how to remove the red square in a:=n? (it will display when printing)
- how to remove the gray block in left side of =?
- how to use square brackets outside the Parentheses?
I think it is convenient to do Formula Derivation and record it in MathCAD Prime, do you have a better software or tools?
|
Mathcad is made primary for calculations, not for type setting formulas
1) So Mathcad will always complain when you assign a variable a an unknown variable n.
You may either
a) use the (fat) boolean equal sign instead of the assigment :=
b) make it a function like a(n):=n
c) cheat; define somewhere above and way out to the right n:=1
2) Sorry, you can't. In Mathad 15 and below you would have been able to cheat an put a white picture on top of the area you don't want to show and print, but in Prime this does not work as we can't change the order of elements.
3) Again - you can't - or, maybe better: you shouldn't . Square brackets are used for vectors and matrices. Of course you could insert a 1x1 matrix for display purposes:
