Question
How to integrate correctly
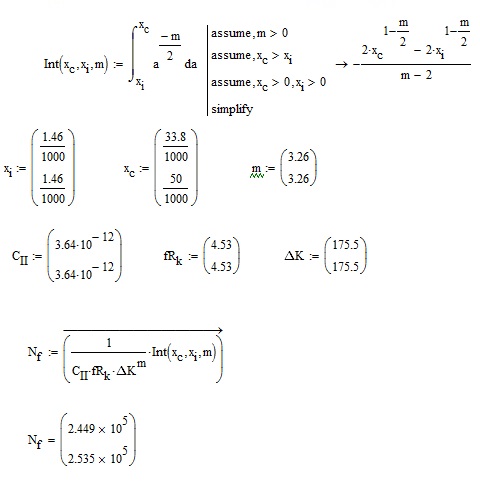
Hallo,
i have a short question for how to write this integral correctly with vektorising.
At the moment its not working.
I need this vektorised because i have different loadcases ands different "xc" values.
Would be nice if anyone can help me
Thx best regards Stefan

