Solved
Your function Vout is not using the "time" argument at all!
And your plot is not using R3 at the abscissa, so you get all constant values.
How should Vout change dependent on the time?
Maybe you have to define R3 as a function of t ....
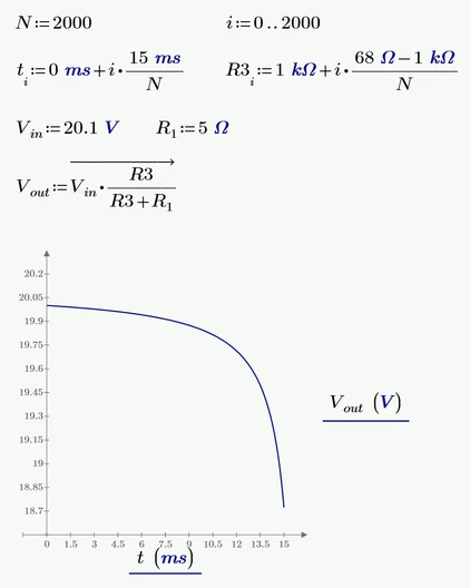
In this example I assume a linear relationship between time and resistance R3

And here an exponential relationship between time and resistance R3

Enter your E-mail address. We'll send you an e-mail with instructions to reset your password.






