Solved
How to make the formula vertical alignment?
How to make the formula vertical alignment?
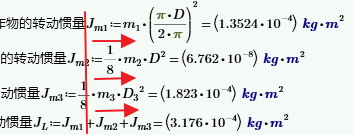
I have some formulas like the picture below, how to make the formula vertical alignment in one vertical line?
Now i use "Tab" key in keyboard, but it is not convenient.


