Question
How to pull-out coefficient from matrix simbolically
Hi all
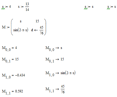
Is`it possible to pull-out some coefficient or expression from matrix to show it in more compact (readable) form?
Here I want to change representation of matrix only.
Thanks in advance

