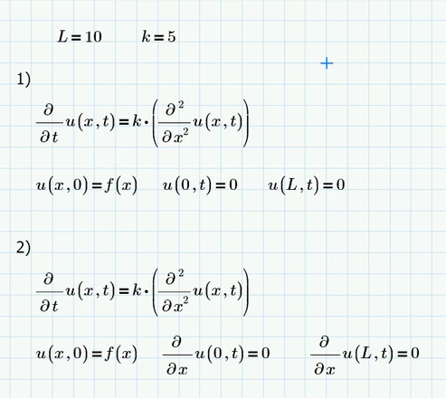
Solved
Perhaps this may be a help. I dusted off some very old notes and slogged through a solution to your posed problem using only the standard/usual Prime 8 functions.
Then I used the numol() function found in Prime 8. Much easier! But, of course, numol() returns a matrix of time-spatial data points rather than an u(x,t) function.
Enter your E-mail address. We'll send you an e-mail with instructions to reset your password.



