1-Visitor
December 17, 2021
Question
How to solve system of equations symbolically?
- December 17, 2021
- 2 replies
- 1564 views
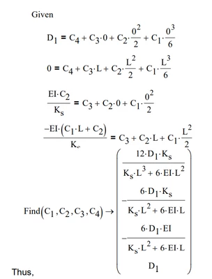
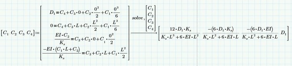
I'm trying to solve this system of equations symbolically (ie I want the constants Ci to be in terms of all the symbols. My professor used Mathcad 15 which seems to work differently. As seen in the picture below. Can this be done on mathcad 7?


