Skip to main content
19-Tanzanite
June 3, 2024
Question

How to solve these types of non-linear differential equations?

  • June 3, 2024
  • 4 replies
  • 5328 views

Hi,

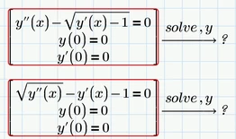
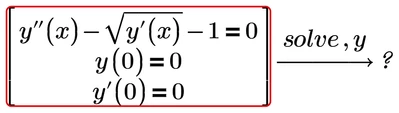
How to solve this types of non-linear differential equations like sol3 and sol4? There is a method for solving also these types of diff eq? Or is not possible?

Cornel_6-1717399837735.png

 

Cornel_5-1717399807176.png

4 replies

19-Tanzanite
June 3, 2024

For sol3 set y'(0) = 1 to avoid a complex square root.

 

For sol4 rewrite as y''(x) = (y'(x) + 1)^2  and set the xlimit to be 0.99 rather than 5 as y'(x) tends to infinity as x tends to 1.

 

Alan

25-Diamond I
June 3, 2024

Ad sol3:

Wen you demand y'(0)=0 you also demand y''(0)=i, the imaginary unit! Really?
Chose y'(0)=1 or larger and the solve block works OK

 

Ad sol4:

Look at the help  -> ODE Function

It clearly states:
odesolve(vf, b, [intvls])—Defines a function that represents the solution to a system of Ordinary Differential Equations (ODE), subject to initial value or boundary value constraints. The ODEs must be linear in their highest derivative term, and the number of initial and boundary conditions must equal the order of the ODEs.

The square root of y''(t) sure is not linear.

 

 

Cornel19-TanzaniteAuthor
19-Tanzanite
June 3, 2024

Yes, Werner, you got the things. This in fact was and is the main point of this topic that I had posted, that when dealing with odesolve the odes must be linear in their highest derivative term. And this I am wondering: what to do in such cases? Is this a limitation of odesolve block? Or there are other solutions with which Mathcad Prime comes that can solve odes that are non-linear in the highest derivative term?

I saw that AlanStevens was able to make some suggestions as you did in such a way that the odesolve was able to show the solution of these kinds of odes posted (for sol4). But there are other Mathcad Prime commands that can be used to solve these types of odes that are non-linear in the highest derivative term? (because as we can see the command odesolve have this request that the odes needs must be linear in the highest derivative term)

Cornel19-TanzaniteAuthor
19-Tanzanite
June 3, 2024

Another example:

Cornel_1-1717409925018.png

15-Moonstone
June 3, 2024

The equations sol1 to sol4 can be solved as a differential equation with separate variables. To do this, you have to solve explicitly for y´´(x). And with the substitution z´(x) = y´´(x), the solution y(x) becomes obvious after integrating z(x) and converting the initial values.

23-Emerald IV
June 3, 2024

Sol3 can be solved symbolically.

Don't know if Prime can do it, but Maple knows.

 

Success!

Luc

25-Diamond I
June 3, 2024

@LucMeekes wrote:

Sol3 can be solved symbolically.

Don't know if Prime can do it, but Maple knows.

 

Success!

Luc


Yes, sol4 can be solved symbolically as well.

Its quite easy to to it with pencil and paper, as Alfred noted and I already posted the solutions.

I guess Maple should be able to solve sol4 as well

Wolframalpha can do so :

Werner_E_0-1717419623666.png

 

Primes 10 symbolic is not able to return a solution

Werner_E_1-1717420058224.png

The error message in both cases is "No solution was found".

 

Without the initial conditions sol3 still fails with the same message, but sol4 returns a useless 'solution':

Werner_E_2-1717420178269.png

Prime can only solve sol1 symbolically

Werner_E_3-1717420688931.png

It can't solve sol2,

Werner_E_4-1717420766255.png

which is understandable as this one is quite nasty and the solution could only be written using the Lambert W function.

See {y''(x) - sqrt(y'(x))-1=0, y(0)=0, y'(0)=0} - Wolfram|Alpha

Cornel19-TanzaniteAuthor
19-Tanzanite
June 3, 2024

I assume that also their Wolfram numerical ode solver will be able to solve these types of diff eq. So, this means that Prime is not able to do either symbolically, nor numerically...sad