Solved
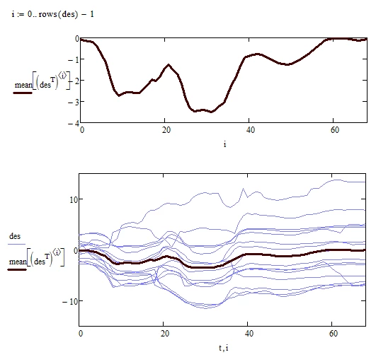
Comparing the two curves with index 9 (red) and 10 (green): How would an "equalization program" decide that the red increasing at 100 is wrong and should be decreasing like the green curve?
Enter your E-mail address. We'll send you an e-mail with instructions to reset your password.

