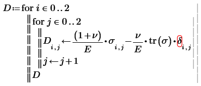
How to use Kronecker Delta?
I want to create a matrix using a little program with Kronecker Delta (1 if i=j, 0 if not) however it does not work.


Where is the mistake?
Thanks!
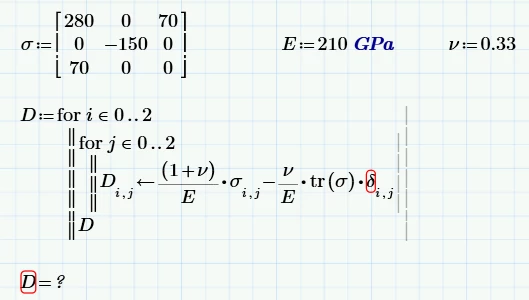
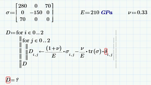
I want to create a matrix using a little program with Kronecker Delta (1 if i=j, 0 if not) however it does not work.


Where is the mistake?
Thanks!
Kronecker delta is a function in Mathcad/Prime, so it needs to be called with parameters 'delta(i,j)' rather than with indices 'delta[i,j'.
I can't open your sheet (unrar produces an error message), but I should guess that Prime's error message is that delta is undefined...?
Success!
Luc
Enter your E-mail address. We'll send you an e-mail with instructions to reset your password.