Skip to main content
ttokoro
21-Topaz I
21-Topaz I
April 3, 2023
Question

Hybrid problem of MFra's two probrems.

  • April 3, 2023
  • 1 reply
  • 3466 views

I think this is the best probrem for electrical engneering students, original from MFra's post.
Try to solve by Mathcad or Prime 9 if you can. 

 

image.png

 

1 reply

ttokoro
21-Topaz I
ttokoro21-Topaz IAuthor
21-Topaz I
April 5, 2023

If the values of R and L is below, and the applied voltage is 1 Hz, you can find the answer.
But the conditions are as original ones, Can Prime and Maple solve it or not?

 

image.pngimage.pngimage.pngimage.png

t.t.
ttokoro
21-Topaz I
ttokoro21-Topaz IAuthor
21-Topaz I
April 7, 2023

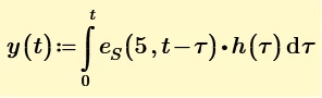
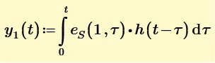
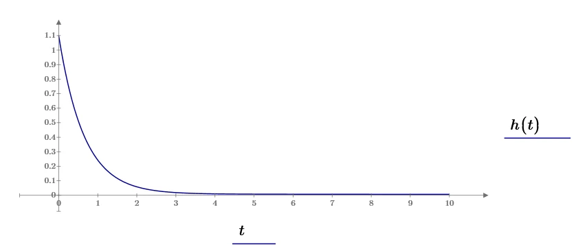
Answer 1.   By using covolution integral for 1 Hz problem.

 

image.pngimage.pngimage.png     image.pngimage.png

t.t.
21-Topaz II
April 7, 2023

Hi!
It would be more interesting to determine the response to this signal:

answer to Tokoro.jpg