Solved
I can't change a matrix solution to show the result in a new variable
Hello everybody,
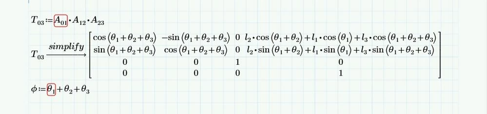
I'm trying to change the sum of angles theta 1,2,3 to a new angle phi. The matrix T03 is the solution of A01*A12*A23. I have been using symbolic keywords like substitute, using and other types of solution but nothing works to show the same matrix T03 but with cos(phi) and sin (phi).
There is some way to do it?
Any help or advice?
Thanks.



