Solved
Hi,
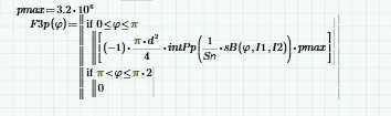
you must not use [] square brackets. Please fix your definition.

Add range before the plot.

Enter your E-mail address. We'll send you an e-mail with instructions to reset your password.
Hi,
you must not use [] square brackets. Please fix your definition.

Add range before the plot.

Enter your E-mail address. We'll send you an e-mail with instructions to reset your password.