Skip to main content
5-Regular Member
June 9, 2023
Question

I'm having difficulty setting up a multivarate newton-raphson function

  • June 9, 2023
  • 2 replies
  • 5182 views

I'm having a hard time setting up the function to solve. Any help would be appreciated. I've attached a file of what I'm working on. I'm using MathCAD Prime 8.

 

 

2 replies

25-Diamond I
June 9, 2023
  1. By default vector- and matrix-indices start with 0, but you used index 1 and 2 in your definitions.
    You can do this, but you would have to set the system variable ORIGIN to 1. Either via the menu or simply type ORIGIN:=1 at the top of the sheet
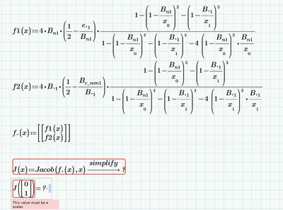
  2. Why did you define your function f.(x) as a nested matrix? A 2x1 matrix inside a 1x1 matrix. I guess a simple 2x1 matrix is all you need
  3. When you call the Jacob function you use f(x) as argument. But you called your function f.(x) (note the dot after "f", its part of the name
  4. You will get a message that the expression is to large to display but still van be used in further calculations. Thats an annoying "feature" but usually there is not much you can do. In your case you are allowed to display the four entries of the Jacobi matrix singly as shown in the picture below
 

Werner_E_1-1686275379236.png

 

BTW, as you already defined your functions f1(x) and f2(x), you should make use of them when you define f.(x)

Werner_E_0-1686275698055.png

 

5-Regular Member
June 9, 2023

Thank you for your help. I'm still having issues with setting everything up. What am I doing wrong at this point? Thanks, again for the help.

 

JA_10710615_1-1686318114254.png

 

25-Diamond I
June 9, 2023

In the definition of f.(x) I still see two pairs of square brackets! That means that you still define a nested 1x1 matrix with a 2x1 matrix as its element.

You have to delete the outer pair of square brackets. It should just be a 2x1 matrix/vector with the two function definitions as its elements.

5-Regular Member
June 9, 2023

I updated the brackets and I'm still receiving the same error.

JA_10710615_0-1686320843550.png