1-Visitor
October 2, 2021
Solved
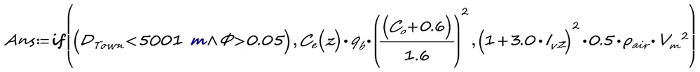
IF & AND statements logic
- October 2, 2021
- 2 replies
- 4844 views
Having a problem getting the following to work, I think it's really just logic, as trying to use to determine which one equation from 4 should be being used!





