Question
If statement in a solve block??
- September 3, 2015
- 2 replies
- 2114 views
MathCAD newbie here so apologies in advance if this is a dumb question,
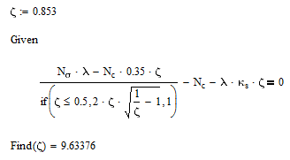
Is it possible to have a conditional statement inside a solve block? I have a problem setup that I am trying to solve for a variable. But not sure i set it up correctly.
I have a conditional statement inside the solve block, and getting error
Guidance would be appreciated

