Solved
If there is a way to display the values of variables inside a block in mathcad 15?
If there is a way to display the values of variables inside a block in mathcad 15?

If there is a way to display the values of variables inside a block in mathcad 15?

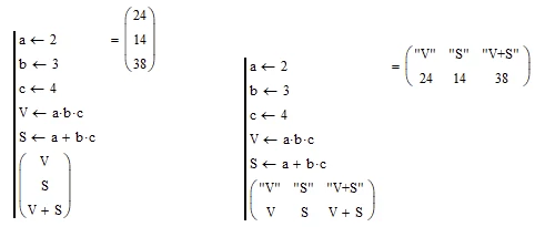
No, there is no way to show these values somewhere inside the program block, but you sure could return them along with the final result

Enter your E-mail address. We'll send you an e-mail with instructions to reset your password.