Skip to main content
May 12, 2010
Question

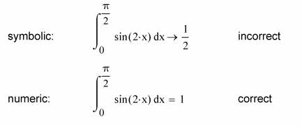
incorrect symbolic definite integral of sine

  • May 12, 2010
  • 5 replies
  • 5153 views
Is this a known bug in MC14.0 M20?

5 replies

1-Visitor
May 12, 2010
Both symbolic and numeric work in my MC2001i rev.C
Jim S.
1-Visitor
May 12, 2010
No excuse for that kind of bug, that's one thing. The other thing is that if it has to consider some rule(s) and the user hasn't applied the rules it should at least return red or "unknown/invalid rule" ... but not that gruesome answer.

jmG
May 12, 2010
My version of MathCad 14 (14.0.0.163, build 701291152) does not have this bug- both methods evaluate the integral to unity.
19-Tanzanite
May 13, 2010
On 5/12/2010 6:35:45 PM, sbepko wrote:
>My version of MathCad 14
>(14.0.0.163, build 701291152)
>does not have this bug- both
>methods evaluate the integral
>to unity.

That version may not have this bug, but it has a lot of others. You should download and install the M020 service release. On average (but obviously not always) you will be better off.

Richard
19-Tanzanite
May 12, 2010
I don't recall seeing that one before. It's broken in M030 as well.

Richard
May 13, 2010
On 5/12/2010 7:36:49 AM, Hendrik wrote:
>Is this a known bug in MC14.0
>M20?
Yes it is. The first MC14-Versions do not show this bug (but have a lot other) - it was introduced with a bugfixed version (M011 or M020, I don't know). According to PTC-Support the bug is known for quite a while (approx. one year, I think) and is already fixed in maintainance release M040.
Unfortunately, as I learned here in the forum, there will be no M040 but rather a "new" Version 15 in June.

Another symbolic integral bug in M020 is the indefinite integral of "x*ln(x)". There is a summand missing. This bug is already fixed in M030 which is of no help, if you bought M020 without paying extra for maintainance. They sold M020 even at times, when M035 was already out.

Some prior forum threads:
http://collab.mathsoft.com/read?131021,99
http://www.ptc.com/forums/viewtopic.php?t=7133
http://www.ptc.com/forums/viewtopic.php?t=7071
http://www.ptc.com/forums/viewtopic.php?t=6423
http://www.ptc.com/forums/viewtopic.php?t=5261

RMix
1-Visitor
May 14, 2010
If it was fixed in Mathcad 14 M030 or M040, then it will be correct in Mathcad 15. You can upgrade as a single user to Mathcad 15 for $240 and get global maintenance support. I don't know the price for enterprise customers, as someone forwarded me the offer for single users. Mathcad 15 is due to release this summer.

Mona
19-Tanzanite
May 14, 2010
On 5/14/2010 11:41:42 AM, MonaZ wrote:
>If it was fixed in Mathcad 14
>M030 or M040, then it will be
>correct in Mathcad 15.

It's not fixed in M030. It was OK in the original M14, but got broken at some point, and is still broken. Hopefully it will be fixed in MC15 though, because it's a pretty basic bug!

Richard


1-Visitor
May 13, 2010
On 5/12/2010 7:36:49 AM, Hendrik wrote:
>Is this a known bug in MC14.0
>M20?
It is now!

I get the same problem - running Mathcad 14 M020 (14.0.2.5 [802141434])