15-Moonstone
April 16, 2024
Solved
Indexing for Advance in Time
- April 16, 2024
- 1 reply
- 1478 views
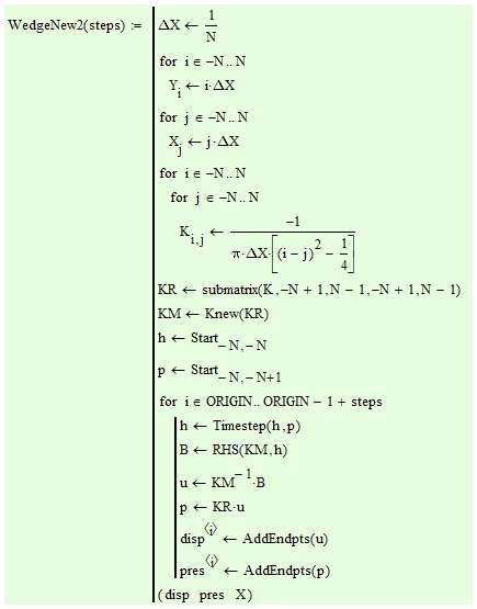
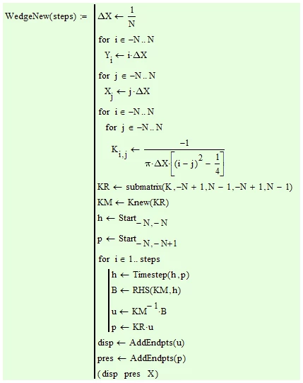
I have a program that I have written for a fixed time step and then advanced it for two, but obviously I want to do this for many. I thought I could just do this with a for loop but I have various matrix operations in the program and cannot get the indexing right. Do I need to convert everything to indicies? There must be a simpler, more elegant and efficient way.
The program is highlighted and annotated at the bottom of the worksheet. There are some auxiliary programs at the top. I am using MathCad 14. (BTW I do have a reason for setting the ORIGIN to -N, but I do not think this is relevant).
Thanks in advance for any help.







