Inquiry regarding matrix multiplication
Dear Mathcad community,
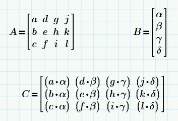
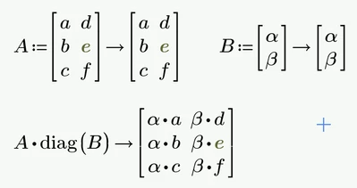
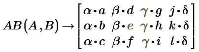
I am writing my first post on this forum in the hope that someone can assist me with a question. Firstly, I would like to say that I am using Mathcad Prime 9.0.0.0. and I am attempting to multiply two matrices and I am struggling to achieve my objective. I want to multiply matrix A (with i rows and j columns) by matrix B (with j rows and 1 column), in order to obtain matrix C as shown in the image (with i rows and j columns). Subsequently, I aim to determine the maximum value of each row in C later.
Thank you very much in advance for your assistance.
Sincerely, Germán.




