Skip to main content
14-Alexandrite
January 29, 2016
Question

Inserting formula in a mathcad table

  • January 29, 2016
  • 2 replies
  • 2628 views

Hello Everyone,

I want to insert a formula in a mathcad table and get the values automatically as in Excel, If possible, can you show me one example.

Thanks

2 replies

24-Ruby III
January 29, 2016

Hi,

go to Mathcad Academic Channel - YouTube and see Mathcad Basics Webinars.

MH

3-Newcomer
May 16, 2023

I just went thru those videos which are very useful, but the question remains unsolved.
How do you do if you want to include the formula in the table?:

JP_9979155_0-1684248418537.png

cheers
Juan

24-Ruby III
May 16, 2023

@JP_9979155 wrote:

I just went thru those videos which are very useful, but the question remains unsolved.
How do you do if you want to include the formula in the table?:

JP_9979155_0-1684248418537.png

cheers
Juan


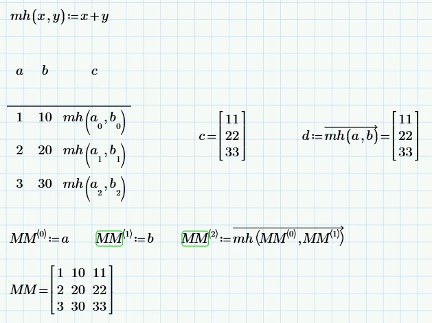
Hi,

I guess the requested functionality is not implemented. I was able to create following notation.

MartinHanak_0-1684257529869.png

 

Please read https://community.ptc.com/t5/Mathcad/Table-Basics/td-p/321822 discussion.

3-Newcomer
May 16, 2023

I just went thru those videos which are very useful, but the question remains unsolved.
How do you do if you want to include the formula in the table?:

JP_9979155_1-1684248505307.png

 

cheers
Juan