Solved
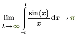
Integral sinc(x)
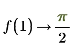
Quora shows interesting math. Prime 7 can show third equation is also pi.
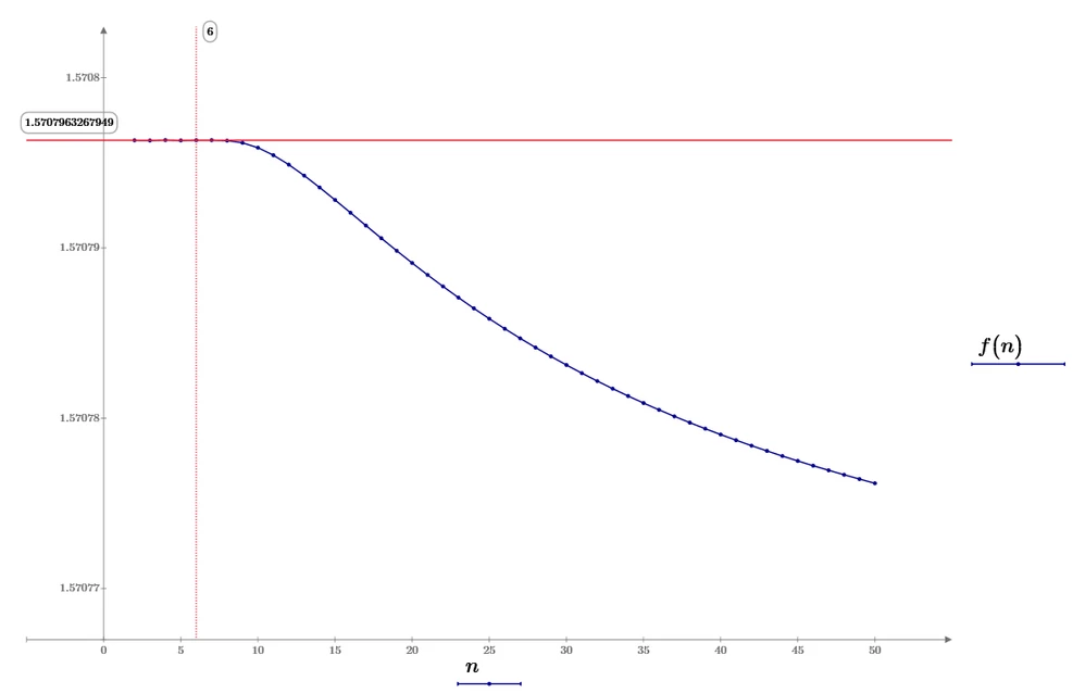
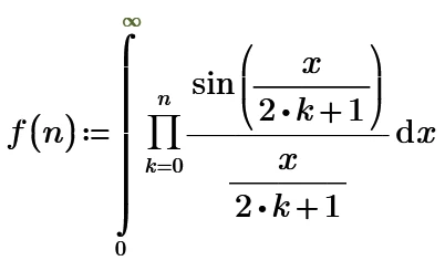
I want to calculate until

and
does not show pi/2


need very long time to solve.
Quora shows interesting math. Prime 7 can show third equation is also pi.
I want to calculate until

and
does not show pi/2


need very long time to solve.
Enter your E-mail address. We'll send you an e-mail with instructions to reset your password.