Question
Integration calcul problem on Mathcad 14
- May 17, 2017
- 3 replies
- 7844 views
Hi everyone,
I'm currently using Mathcad 14 and I think there is a problem in the software about the integration calcul.
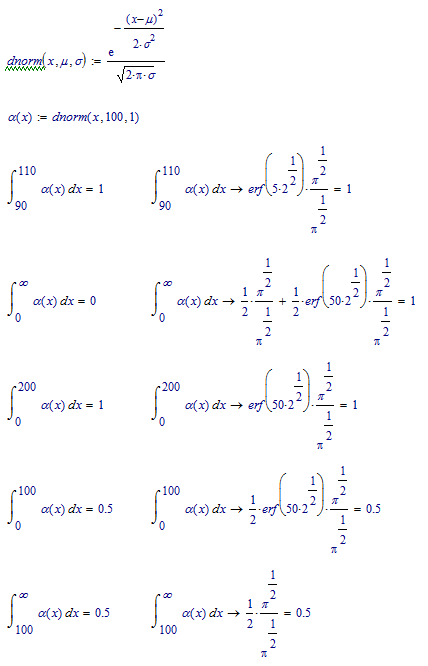
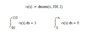
I define a function as a density of probability, so its integral should be 1, but I don't get 1 with some certain bounds. In the picture I have enclosed to the question, you can see that when I integrate a normal law of parameters (μ=100,σ=1) on the interval [90,110], the result is 1. But when I integrate the same function on the interval [0,∞[, the result is 0.
Does anyone has already faced this problem ? Do you know if there is a patch to correct this mistake ?
TIA for your answers guys.
Yvan

