Solved
Integration Headache
- May 12, 2017
- 3 replies
- 3506 views
Hello again friends,
I have what is hopefully a simple headache in integration.
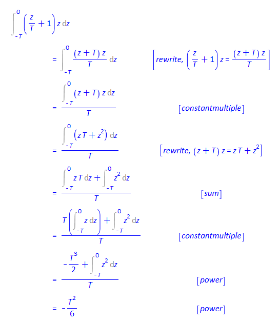
I am looking at the below and attached.

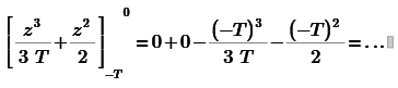
In yellow is the integral I am trying to work out manually as I need to be able to do this in a manual way. I have tried a 'nifty' short cut in red but this is way off.
Then I have tried integrating without the upper and lower limits of the integral by rearranging, expanding the brackets, then integrating. Then replacing z for -T and resolving. Although this gives me an answer with a extra 5 in the numerator?
Any ideas where I am going wrong?
A


