Solved
Invalid Array Index in For Loop
- November 1, 2023
- 1 reply
- 1245 views
Hello,
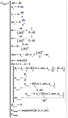
I am trying to program the following with some tweaks to fit my problem.

I am pretty new to MathCad Prime and I am running into some problems with verifying my array index in step 2.1.
Please help!
Thanks!


