Inverse function based or cordinates
Hello
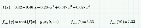
I have 42 x and y variables where an regression are made. Now i need make an reverse function of this. How and can some help + explain how it is done so i can make it by myself in the future !!!
Thanks
Regards.


