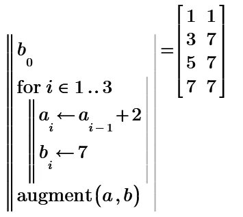
Is it an error in Mathcad?


@ValeryOchkov wrote:
Is it an error in Mathcad?
Not at all. Its the behaviour as it should be.
Note that the global b and the local b have nothing to do with each other! The local b is a new variable created by the program and as you don't provide a value for the element with index 0, this element is initialized with 0 as usual.
If you want a global variable to be used in a program you have to either provide it as an argument of your function or you must use it on the right hand side of a local assignment as you did with variable a.
In your program "a" is local only for a sort moment. after the fist assignment which introduces the global "a" on the right hand side it turns into the global variable. As ttokoro showed, just "mentioning" b (his first program line) does the job as well. I am not sure if this behaviour is OK from a purists point of view. The "normal" way to do it used to be the dummy assignment b <-- b.

P.S.: It looks like you are using a 4K monitor like me (in combination with a large windows zoom factor). Thats the reason your screenshots are far too large when you embed them here. To make your post better readable I would advice that you either scale down the pics with an appropriate program or at least resize them after you embed them in your post.
Enter your E-mail address. We'll send you an e-mail with instructions to reset your password.