Skip to main content
1-Visitor
January 29, 2020
Solved

Is there a way to control the lenght of gradient vector

  • January 29, 2020
  • 1 reply
  • 2973 views

Hi, I want to get vectors of the same length. Is it possible to do this

Gradient problem.png

Thanks in advance

Best answer by Werner_E

Here is a more general version of the above

Werner_E_0-1580331298393.png

 

1 reply

25-Diamond I
January 29, 2020

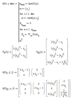
Maybe that way, using literal indices

Werner_E_0-1580323677476.png

 

 

ifomenko1-VisitorAuthor
1-Visitor
January 29, 2020

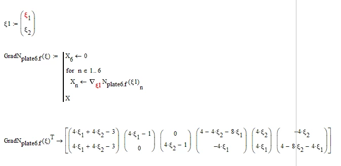
No, but you`ve given me a good idea

Gradient problem2.png

without literal indices

25-Diamond I
January 29, 2020

This function may be more versatile

Werner_E_0-1580329731145.png