10-Marble
August 18, 2025
Solved
Issue with a function in a solve block
- August 18, 2025
- 2 replies
- 1501 views
Hi,
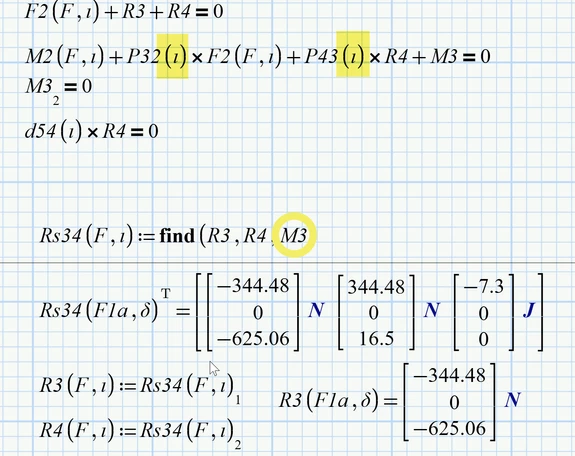
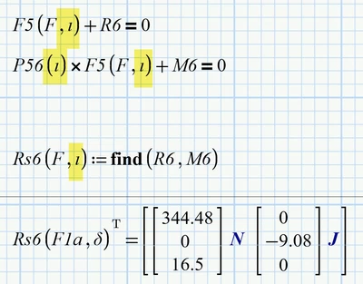
I'm struggling with a function within a solve block that requires two inputs, a force and an angle as shown below

So when I evaluate R3(F1a,_delta_) I get the error that it must be a 3 element vector. I'm pretty sure my mistake is simple, but I just can not work it out.
Any help will be greatly appreciated
Shane



