Issue with odesolve boundary conditions
- January 5, 2024
- 1 reply
- 1270 views
Hello everyone
I have been trying to study the dynamic response of a vertical cylindric pile partly submerged in the sea and resting on the seabed, using Mathcad Prime 8.0. I have implemented the 1D dynamic beam equation as described at https://en.wikipedia.org/wiki/Euler%E2%80%93Bernoulli_beam_theory
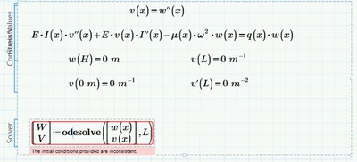
The pile is free at the top, held laterally in place at height H and simply supported at the base (with a lateral spring). I have defined the following boundary conditions. w and v are deflection and curvature. The units look correct to me. Besides, making the sheet unitless does not solve the problem.

Could anyone point me towards the solution or shed more light on what is meant by "inconsistent conditions" ? I have attached the spreadsheet and datafile for some trials.
One issue I see with the file is that I(x) and q(x) have discontinuities so Mathcad may have difficulties evaluating I''(x) over the complete interval.
Best regards
François

