10-Marble
February 13, 2025
Solved
Issue with odesolve() in Mathcad Prime 10
- February 13, 2025
- 3 replies
- 1183 views
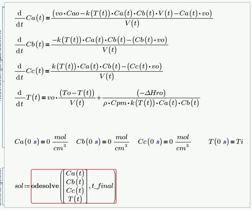
Hello everyone,
I am solving mass and energy balances for a CSTR using odesolve in a solve block in Mathcad Prime 10. The system includes species balances and an energy balance with the heat of the reaction. However, the solver is not working.
Are there specific issues with my guess values, constraints, or equation setup that I should check? Any guidance on properly structuring odesolve would be helpful.
Thanks!


