Solved
Issue with solving system of equations in mathcad prime 8
- October 20, 2022
- 3 replies
- 9399 views
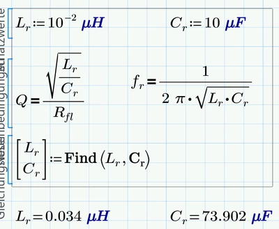
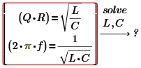
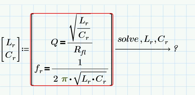
Hi,
So I'm struggling to understand exactly what is the issue that is occurring that is stopping the system of equations below from solving. I know that it is solvable, I did it by hand, and I have the answers for verification. However, it is in the software claiming to be unsolvable. Am I entering it in improperly?







