10-Marble
March 24, 2025
Solved
Issues While Recreating "Shaft Bearing Speed" Mathcad Worksheet
- March 24, 2025
- 2 replies
- 1187 views
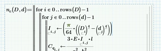
Hey everyone,
I’m trying to recreate a Mathcad worksheet from a PDF file titled Shaft Bearing Speed. I’m using the exact same commands from the PDF to write it in my own worksheet, but I’m running into multiple errors and mistakes that I can't seem to understand.
I’ve attached both the original PDF, my Mathcad worksheet, and error screenshots for reference. I’d really appreciate any help in figuring out where I might be going wrong.
Thanks in advance. Below are the screenshots of my errors...





PS: The excel component is in-active in my worksheet for god knows the reason & hence, I had to use an image there, but with a "Read Excel" command on top. I hope you don`t judge me on that...

