Iteration: HOW?
Hello newbie here, (user of Mathcad Prime 10.0)
I wanted to ask if anyone can explain how to use normal Iteration in Mathcad. Like, I have different equations and I want to create 5 loops or "intervals" to get my answer.
I always used "solve block" for iteration, but now this won't work.
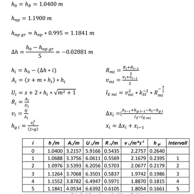
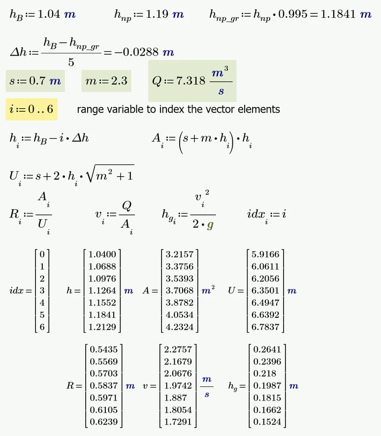
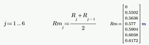
I want to create something like this:

I tried asking AI but it only gave me nonsense. I never used this type of Iteration on Mathcad before, only on Excel.
Thanks for any help. Sorry if I wrote a little bit wobbly, English is not my native language.
Best regards,
Saro : )

