Iteration with an initial value
- August 29, 2024
- 2 replies
- 1419 views
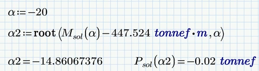
Good morning community. I am trying to program to find a number α so that it meets a condition Psol=0.00 tonnef. In short, what I want is to enter an initial value α and until that condition Psol=0.00 tonnef is met, look for the value of α. Thank you for your attention, my version of Mathcad prime is V.9.0.
Translated by the moderation using Google Translate
-----------------------------------------------------------------------------------------------
Iteración con un valor inicial
Buen día comunidad. Estoy tratando de programar para buscar un número α para que cumpla una condición Psol=0.00 tonnef. en resumen, lo que quiero es introducir un valor inicial α y hasta que no se cumpla esa condición Psol=0.00 tonnef busque el valor de α. Gracias por la atención prestada mi versión de Mathcad prime es V.9.0.




