Lifting and Ship Stability
Hello everyone,
Today's problem involves loss of ship stability caused by lifting a weight on a crane which has an effect on the ship's centre of gravity height.
I think where I am struggling may be a misuse of Mathcad but I'm not sure.
Below is the problem:

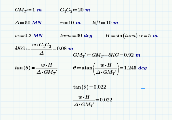
Here is some of the explanatory equations to use:


And this is where I have got to.

I've obviously got the correct change in centre of gravity from the keel, however, I am .1 of a degree out with the angle of heel caused by swinging the crane out by 30 degrees.
I have assumed that the lateral distance from the crane to the mass is the opposite of a right triangle of the radius of the crane's jib as the radius forms the hypotenuse of this triangle.
Not sure I have got the trig functions correct with regards finding the angle of heel?
Also I've not used the lift height i.e. the weight is lifted 10m but I don't think this is relevant? I say this as the virtual centre of gravity of the weight is at the suspension point which is 20m?
Help as always welcomes.
Cheers,
Andy.

