Skip to main content

1 reply

23-Emerald IV
February 2, 2023

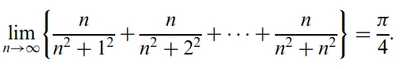
Try simplify. Mathcad 11 would give me:

LucMeekes_0-1675363377900.png

Success!
Luc

Cornel19-TanzaniteAuthor
19-Tanzanite
February 2, 2023

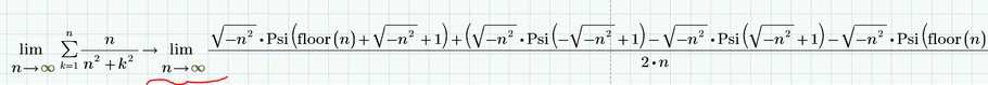
I tried with simplify, but I don't think it can work in Mathcad Prime because Mathcad Prime doesn't calculate the respective limit from the beginning, while Mathcad 11 calculates the limit from the beginning (you can look after the first one -> to see this thing).

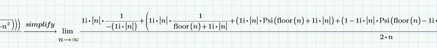
CornelBejan_0-1675365866920.png

CornelBejan_2-1675365917371.png

This exercise was just to see if Mathcad Prime can calculate such things (it is not a critical exercise that further uses me for something, like other's calculations), but it seems that the Prime engine is getting confused with this kind of calculation.

 

 

 

25-Diamond I
February 3, 2023

Here is a comparison of the two symbolic engines available in Prime 6 - none compares to old Maple in MC11
So once again we see that   Maple > muPad > friCAS/Axiom
One could actually get the impression that the "development" of symbolic capabilities is going in the wrong direction ...

Werner_E_0-1675392416868.png