limitations for-loops and nested arrays in mathcad 14?
Good Morning,
I'm currently writing my graduate-thesis using Mathcad 14. It is working pretty good so far, but the professor and I came across certain problems yesterday neitherone of us could find answers for.
Our code contains quite a few for-loops generating nested arrays and matrix operations. I set up the entire document as a parametric calculation so only the starting parameters need to be entered and the code automatically generates modells, meshes surfaces and so on. The quality of the results relies heavy on the degree of discretisation we are able to use. For low discretizations (<10000 elements and therefore entries in our matrices and arrays) the calculation works perfectly and results are quickly displayed. But for a much higher number of elements calculation the for-loops fail while matrix-operations still run strong.
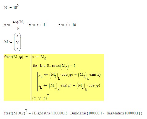
Here is the command that fails first. It is basically the rotation of coordinates in 3D:
First the command
ROTATION(M,phistart,phiend,delta-phi):=for phi element of phistart, phistart + delta-phi,.....,phi-end
for j element 0...number of collums
X0,j <- (M0)0,j
Y0,j <- (M1)0,j * cos(phi) - (M2)0,j * sin(phi)
Z0,j <- (M1)0,j * sin(phi) + (M2)0,j * cos(phi)
(X,Y,Z)T (merely for export)
explanation: M is an array containing three matrices with my coordinates for x, y und z. phistart and phiend represent the start and finish of my rotation and delta-phi the step. This is only the command I need to use later on...
Now the use of the command on an Array:
Name(Array,starting-angle,finishing-angle,step)=my results...
This works perfectly with a small number of points, but fails to work with approximately 10000 points or more. The displayed error says merely "eng-exeption"
This raises the question: What are the limitations on a nested array and calculations with mathcad 14 in general? Since it is a 32-bit-programm I expected at least 2^16 as a limitation...Do you guys have any idea why the generation of nested arrays fails with such a low number of elements?
Thanks in advance, Jon


