Skip to main content
14-Alexandrite
July 23, 2025
Solved

Linear Interpolation

  • July 23, 2025
  • 2 replies
  • 520 views

Hello,

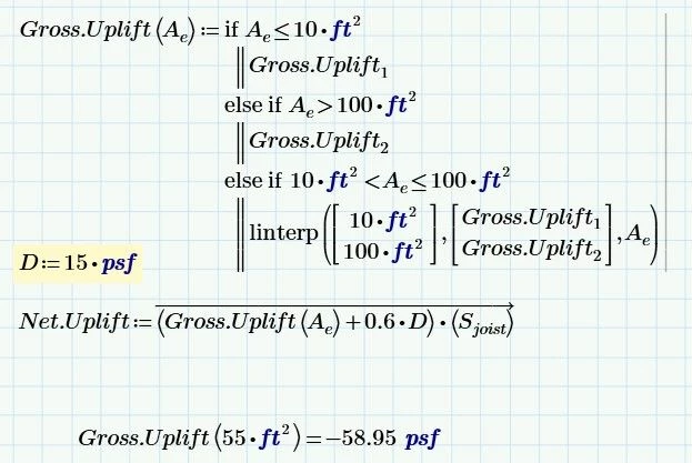
Attached is a Mathcad Prime 9 sheet. I would like to perform linear interpolation as explained in the sheet. Thank you for your help.

 

 

Best regards,

Sam

 

 

Best answer by terryhendicott

Capture.JPG

Cheers

Terry

2 replies

21-Topaz II
July 23, 2025
SFares14-AlexandriteAuthor
14-Alexandrite
July 23, 2025

Thank you so much, Terry!

23-Emerald IV
July 23, 2025

This should do it. You may need to recalculate the sheet.

Note that you don't need the IF statements. The function linterp will do extrapolation from the last two points on either side of the range, so just extend the range with an extra point on either side...

 

Success!
Luc

SFares14-AlexandriteAuthor
14-Alexandrite
July 23, 2025

Wonderful and I appreciate it. Thanks alot, Luc!