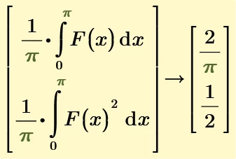
Make equivarent sine waveform that has Em = 1, Ea = pi/2 and E = 1/sqrt(2) .
Make equivarent sine waveform that has maximum value = 1, average value = pi/2 and RMS = 1/sqrt(2).
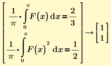
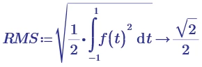
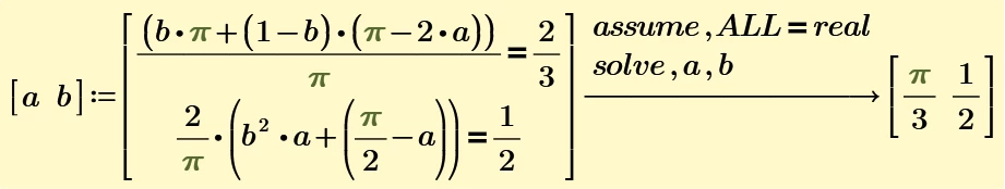
Below waveform has RMS=1/sqrt(2) but Ea=2/3 not pi/2.

, 
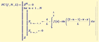
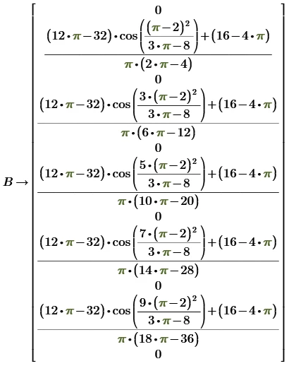
Hard probrem. If you can make it, find the Fourier series of the waveform. Calculate the Ea and RMS values for 10, 100 and 1000 harmonics include. Symbolic evaluation by using below programming may causing a trouble.











