match and lookup functions
Hi there
What is the difference between ( match) and ( lookup ) function in mathcad prime 11
thanks
Yusra
Hi there
What is the difference between ( match) and ( lookup ) function in mathcad prime 11
thanks
Yusra
Match gives the location(s) (index/indices) of the element(s) found, while lookup gives the value(s) of all/an element(s) in (a) location(s) that correspond(s) to the element(s) found.
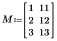
With matrix:


tells you that the 2 is found at row position 1 in colum 0.

gives you the value in column 1 of that matrix, at the same row where 2 is found in the first column (column 0).
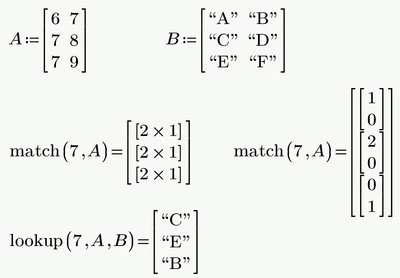
You can also get the value of the element found, by looking up in the same array as where you search...:

but the usefullness of this may be questionable.
As Werner shows, you get multiple results, if the value you look for occurs multiple times in the array.
Success!
Luc
Enter your E-mail address. We'll send you an e-mail with instructions to reset your password.