Solved
Math equation solving problem
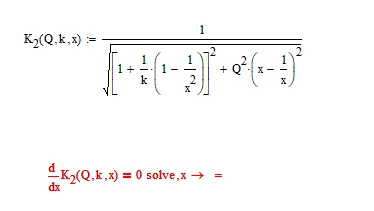
Hi experts,
Can anyone know how to solve this problem?
it seems the equation is too complicated, so the system can't solve it.
any other methods that can solve this issue?

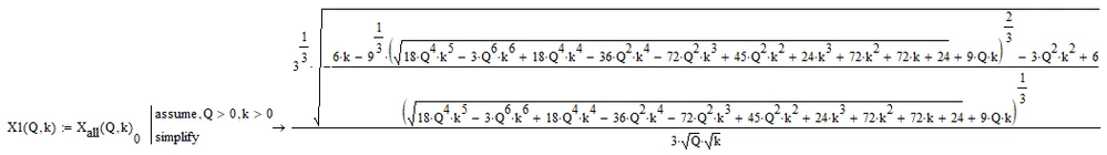
Hi experts,
Can anyone know how to solve this problem?
it seems the equation is too complicated, so the system can't solve it.
any other methods that can solve this issue?


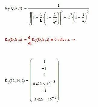
Then:

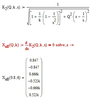
and:

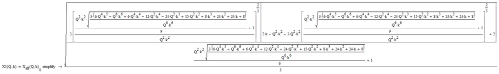
Success!
Luc
Enter your E-mail address. We'll send you an e-mail with instructions to reset your password.