Skip to main content
8-Gravel
June 29, 2022
Question

Mathcad 15 index summation

  • June 29, 2022
  • 1 reply
  • 2018 views

Is it possible to to index the summation for odd numbers in 15?

1 reply

25-Diamond I
June 29, 2022

Maybe that way:

Werner_E_0-1656540197752.png

 

25-Diamond I
June 29, 2022

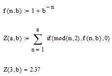
Or you may redefine your function f(..) to return zero for even values of n:

Werner_E_1-1656540384435.png

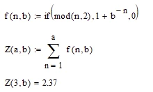
or, as a variation, you may put the branch into the sum instead of the function f:

Werner_E_2-1656540502233.png

 

And as my last solution for now you may do without the summation operator and program the summation yourself:

Werner_E_0-1656540892061.png

The last will not work for a=1 unless you add some kind of branch (if).

 

8-Gravel
July 5, 2022

I tried to follow the same method in my original programming but the solution does not converge while matlab can

Can you share your views