MathCAD 15 to Prime 7.0 conversion of Differentail Equation failed
- March 8, 2023
- 3 replies
- 14578 views
Dear all
the reason of my posting is an failed conversion of a MathCAD 15 file/model to MathCAD Prime 7.0
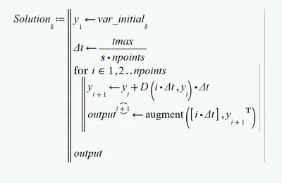
In particular this Model contains a quite complex differential equation, and after using the converter the new MathCAD Prime 7.0 model output an error on the command line which should start the solver (in this case it is the rkfixed, but the same error occurs also with other solvers. The red mark of the error is put on the "D" of the beforehand differential equation, the error report is (in german) "Ein_Aufrufziel_hat_einen_Ausnahmefehler_verursacht." This means something like "a call target has caused an exception error" (I do not know the exact error description in the english version).
As MathCAD 15 is terminated by the supplier, we need a solution to further operate this MathCAD model.
Attachment: The MathCAD 15 file and the MathCAD Prime 7.0 file after conversion. The said Differential equation ist given on Page 13...15 in MathCAD 15, on Page 16...18 in MathCAD Prime 7.0 after conversion.
Thank you for your support.
Greetings
Volker Schmitt



