Skip to main content
24-Ruby IV
November 8, 2021
Question

Mathcad-24-clock

  • November 8, 2021
  • 4 replies
  • 2026 views

Help me, здуфыу! Suggest good Mathcad expressions for numbers 13, 14 ... 24

For Mathcad-24s-Clocr.

Mathcad-12-ClockMathcad-12-ClockNot Mathcad 24 clockNot Mathcad 24 clock

4 replies

23-Emerald IV
November 8, 2021

Here's your '24' (Note that time 24:00 equals 00:00):

LucMeekes_0-1636385541623.png

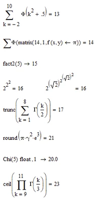
OK, I'll add 23 as well:

LucMeekes_1-1636385624188.png

Success!
Luc

24-Ruby IV
November 8, 2021

@LucMeekes wrote:

Here's your '24' (Note that time 24:00 equals 00:00):

 

OK, I'll add 23 as well:

LucMeekes_1-1636385624188.png

Success!
Luc


IsPrime(1) -> 24

previousprime(19)  -> 17

23-Emerald V
November 8, 2021

@ValeryOchkov wrote:

Help me, здуфыу! Suggest good Mathcad expressions for numbers 13, 14 ... 24

For Mathcad-24s-Clocr.

 


Plan B solutions if nothing better turns up.

 

2021 11 08 A.png

 

Stuart

25-Diamond I
November 16, 2021

Here a few more

Werner_E_0-1637085568452.png

 

25-Diamond I
November 17, 2021

OK, here's another 15, playing around with the numbers 1,2,3,4

Werner_E_0-1637162296090.png

Or more simple with 1,2,3

Werner_E_1-1637163223518.png

Oh, and here is 14 using three times the 4

Werner_E_2-1637163257280.png

 

 

23-Emerald IV
November 17, 2021

Here's 18 for you:

LucMeekes_0-1637157886715.png

And the next:

LucMeekes_0-1637163866403.png

Luc