Solved
Mathcad Derivate Wrong Answer
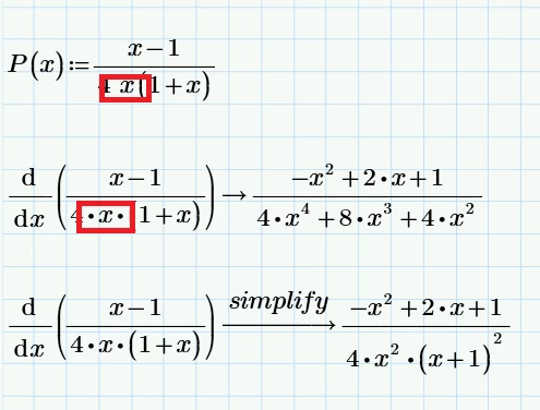
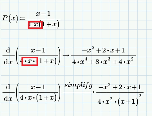
I used the Mathcad to derive equations, but I noticed that the program gives a wrong derivate for the following
d[(x-1)/(4x*(1+x))]/dx, Mathcad gives the answer as [(-x+1)*x'*(x+1)+x(x+1)]/[4x*(x+1)^2], which is wrong. Would you please advise if anything caused such wrong answer?
Thanks!
d[(x-1)/(4x*(1+x))]/dx, Mathcad gives the answer as [(-x+1)*x'*(x+1)+x(x+1)]/[4x*(x+1)^2], which is wrong. Would you please advise if anything caused such wrong answer?
Thanks!


