Mathcad error, having trouble in Prime 11 creating functions that use vectorized multiplication of two vectors
- February 20, 2026
- 1 reply
- 121 views
Hi all,
I'm a long time user of Mathcad but first time poster - hoping someone can tell me where I'm going wrong!
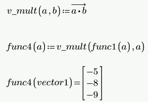
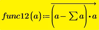
I'm having trouble in Prime 11 creating functions that use vectorized multiplication of two vectors, where the values inside one of the vectors was created using the sum operator. When I do the equivalent operation directly within the worksheet (i.e. not within a function it works without error. When I try replacing the sum operator within the function with a value it all works without error.
The error message I get is "This value must be a matrix of scalar elements all of which have the same units"
I've seen a lot of discussion about how this error can come from inappropriate use of ranges when vectors should be used - I've checked using IsArray & IsRange on all the vectors involved and I don't think I have any inadvertent ranges.
Example worksheet showing my issue attached.
If anyone can help tell me where I'm going wrong I'd be really grateful, I've been struggling with this for a while!
Thanks
Robbie




