Solved
Mathcad Expression Simplification
- April 24, 2023
- 1 reply
- 1339 views
Hi Guys,
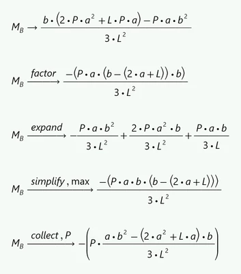
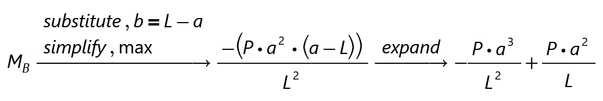
Can someone please simplify the final expression for fixed end moment for a point load at any point on the beam? Please see the attached file.
Solution should look like below expressions of Fixed end moment
Ma = -Pab^2/L^2
Mb = +Pa^2 b/L^2


