Question
Mathcad matrix problem
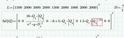
Hi!
I'm a college student having problems with the creation of the matrix. The informational failure is "Found a similarity while evaluating this expression. You may be dividing by 0 or inverting a similar matrix."


Please help!

